Как получить больше энергии от кофеина

Как получить больше энергии от кофеина
Как получить больше энергии от кофеина

Новое исследование предполагает, что, чтобы противодействовать толерантности к кофеину, вам нужно временно отказаться от него.

Воздержание - очень спорная тема, и да, я говорю о спортивной науке. Вы готовитесь к важной гонке и надеетесь получить максимальную отдачу от кофеина в день гонки. Стоит ли отказывать себе в кофе на неделю или около того перед гонкой, так что вы находитесь в состоянии повышенной чувствительности к кофеину?

Это довольно распространенная процедура среди элитных спортсменов на выносливость, но определенно не очень любимая. Однажды я посетил группу по спортивному питанию, на которой Дес Линден рассказывала об этой части своего предсоревновательного распорядка. Это женщина, которая (вместе с другим элитным бегуном Беном Тру) владеет собственной кофейной компанией Linden & True. Она не отказывается от кофе легкомысленно, и в ее голосе можно было услышать тревогу, когда она рассказывала о том, что для нее чувствовала неделя без кофе. Но, эй, хоть что-нибудь, да?

Проблема в том, что научные исследования предполагаемых преимуществ воздержания были в лучшем случае неясными и неубедительными. В ряде исследований был проведен поиск эффекта, но ни одно из них не оказалось особенно убедительным. В самом последнем из них, о котором я писал два года назад, участвовало 40 хорошо подготовленных велосипедистов, и не было обнаружено никакой разницы в величине стимула, получаемого гонщиками от кофеина, независимо от того, потребляют ли они обычно низкий, средний или высокий уровень кофеина. Это противоречит любому сильному эффекту привыкания, который притупляет полезные свойства кофеина при регулярном употреблении.

Тем не менее, очень трудно уловить тонкие различия в такого рода исследованиях, учитывая, что различия в индивидуальных показателях настолько велики. Чтобы лучше разобраться в этом вопросе, вам нужно провести какое-то сумасшедшее исследование, включающее в себя тестирование одних и тех же людей снова и снова, снова и снова, поскольку они постепенно привыкают к кофеину. И это, как оказалось, именно то, что делает новое исследование в PLoS ONE.

Команда исследователей из Университета Камило Хосе Села в Испании во главе с Хуаном Дель Косо провела группу из 11 добровольцев через пару изнурительных 20-дневных протоколов. Все добровольцы обычно мало употребляли кофеин, потребляя менее 50 мг в день, что намного меньше, чем 100-300 мг в обычной чашке кофе. Для одного из 20-дневных протоколов они принимали ежедневную таблетку, содержащую 3 мг кофеина на килограмм веса тела, относительно стандартную дозу, используемую спортсменами для повышения производительности, которая составляет около 200 мг в день. Для другого 20-дневного протокола им ежедневно давали плацебо. Два протокола были разделены семью днями, порядок определен случайным образом и скрыт от субъектов.

До и после исследования, а также три раза в неделю во время исследования они выполнили тест VO2max до изнеможения и 15-секундный спринт на велотренажере. Это позволило исследователям точно отследить, как изменилось преимущество кофеина по мере того, как испытуемые постепенно привыкли принимать кофеин каждый день, и сравнить это с точно такой же прогрессией, когда вместо этого они получали плацебо.

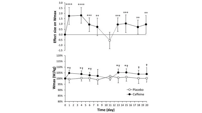
Вот как выглядят эти данные о пиковой мощности (Wmax), достигнутой добровольцами в своих тестах VO2max до достижения истощения (кофеин - черные кружки, плацебо - белые кружки):

Изображение
Изображение

На нижнем графике показаны фактические данные о мощности. Вы можете видеть, что как только они впервые начинают принимать кофеин, в первый день, они сразу же получают примерно 5-процентное увеличение пиковой мощности по сравнению с плацебо. На верхнем графике показан размер эффекта, который является мерой того, насколько велика разница между кофеином и плацебо по отношению к полосам погрешностей. Повышение в течение первых нескольких дней считается большим эффектом.

Но затем все начинает затихать. Фактически, на 11-й день величина эффекта падает примерно до нуля. Это хорошо, потому что на 11-й день исследования проводилась проверка на манипуляции. Вместо того, чтобы принять таблетку, а затем сесть на велосипед через 45 минут, как они делали в большинстве случаев, они приняли таблетку после велосипедных тестов. Таким образом, они все еще получали дозу кофеина в рамках процесса привыкания, но во время тестов не добились повышения производительности. Таким образом, результаты приема кофеина и плацебо в этот день должны быть примерно одинаковыми - именно это вы и видите.

Если вы посмотрите на другие результаты исследования, вы увидите аналогичные закономерности для VO2max и для 15-секундной мощности спринта. У испытуемых наблюдается значительный прирост от кофеина в первые несколько дней, затем он начинает снижаться, но никогда не достигает нуля. Фактически, 20-й день в целом выглядит примерно так же, как и 6-й день. Основываясь на этих результатах, вы можете понять, что толерантность к кофеину (по крайней мере, в тестируемых здесь дозах) никогда полностью не лишает пользы от повышения уровня кофеина. Но это, возможно, лишает вас небольшого преимущества, которое вы бы получили в противном случае. Это, вероятно, неоднозначное благо для Линдена и его компании, поскольку предполагает, что кофеиновая детоксикация перед гонкой, какой бы болезненной она ни была, может оказаться полезной, если вы действительно гонитесь за каждой секундой.

Конечно, производительность - это сложное уравнение. Для некоторых людей отказ от кофеина сделает гоночную неделю настолько невыносимой, что они, вероятно, потеряют больше, чем приобретут. И есть также некоторые новые генетические исследования, которые показывают, что некоторые люди на самом деле не получают прироста производительности от кофеина. Но, возможно, самый большой оставшийся вопрос - это противоположность тому, которым занималось это исследование: сколько дней воздержания от кофеина требуется кофеиновой зависимости, чтобы полностью восстановить свой заряд энергии? Это насущный практический вопрос. Но удачи в найме субъектов, которые ответят на него.